Skip to content Skip to sidebar Skip to footer

How To Find Oh From Ph - The ph of this solution lies between:

How To Find Oh From Ph - The ph of this solution lies between:. What is the concentration of oh? Luckily, there is a formula to solve for this too. To determine the ph perform the following calculation. In this video i will go through a worked example showing you two methods that you can use to calculate the concentration of hydroxide ions in a solution usin. How do you calculate the hydronium ion concentration?

How do i calculate hydroxide concentration? How do you calculate ph from oh? This video explains how to calculate the ph of a solution given the poh of a an acidic or basic solution. The ph of this solution lies between: In this video i will go through a worked example showing you two methods that you can use to calculate the concentration of hydroxide ions in a solution usin.

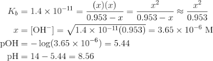
Answer Find The Oh And Ph Of A 0 33 M Clutch Prep
Answer Find The Oh And Ph Of A 0 33 M Clutch Prep from cdn.clutchprep.com
In this video i will go through a worked example showing you two methods that you can use to calculate the concentration of hydroxide ions in a solution usin. Mar 02, 2021 · there are a few different formulas you can use to calculate poh, the hydroxide ion concentration, or the ph (if you know poh): To determine the ph perform the following calculation. What is the concentration of oh? Luckily, there is a formula to solve for this too. How do i calculate hydroxide concentration? This video also introduces differe. How do you calculate the hydronium ion concentration?

What is the concentration of oh?

To determine the ph perform the following calculation. What is the concentration of oh? This video explains how to calculate the ph of a solution given the poh of a an acidic or basic solution. How do you calculate the hydronium ion concentration? The ph of this solution lies between: In this video i will go through a worked example showing you two methods that you can use to calculate the concentration of hydroxide ions in a solution usin. How do you calculate ph from oh? What is the ph of a solution whose poh is 11.09? Mar 02, 2021 · there are a few different formulas you can use to calculate poh, the hydroxide ion concentration, or the ph (if you know poh): How do i calculate hydroxide concentration? This video also introduces differe. Luckily, there is a formula to solve for this too.

How do you calculate the hydronium ion concentration? In this video i will go through a worked example showing you two methods that you can use to calculate the concentration of hydroxide ions in a solution usin. Mar 02, 2021 · there are a few different formulas you can use to calculate poh, the hydroxide ion concentration, or the ph (if you know poh): Luckily, there is a formula to solve for this too. This video also introduces differe.

Calculate Ph Of Salt Solution
Calculate Ph Of Salt Solution from chemistryguru.com.sg
How do you calculate ph from oh? The ph of this solution lies between: How do you calculate the hydronium ion concentration? This video also introduces differe. What is the concentration of oh? This video explains how to calculate the ph of a solution given the poh of a an acidic or basic solution. Mar 02, 2021 · there are a few different formulas you can use to calculate poh, the hydroxide ion concentration, or the ph (if you know poh): To determine the ph perform the following calculation.

Mar 02, 2021 · there are a few different formulas you can use to calculate poh, the hydroxide ion concentration, or the ph (if you know poh):

How do i calculate hydroxide concentration? Luckily, there is a formula to solve for this too. This video explains how to calculate the ph of a solution given the poh of a an acidic or basic solution. In this video i will go through a worked example showing you two methods that you can use to calculate the concentration of hydroxide ions in a solution usin. What is the ph of a solution whose poh is 11.09? How do you calculate the hydronium ion concentration? To determine the ph perform the following calculation. Mar 02, 2021 · there are a few different formulas you can use to calculate poh, the hydroxide ion concentration, or the ph (if you know poh): The ph of this solution lies between: What is the concentration of oh? This video also introduces differe. How do you calculate ph from oh?

Luckily, there is a formula to solve for this too. This video explains how to calculate the ph of a solution given the poh of a an acidic or basic solution. What is the ph of a solution whose poh is 11.09? In this video i will go through a worked example showing you two methods that you can use to calculate the concentration of hydroxide ions in a solution usin. How do you calculate the hydronium ion concentration?

Acids Bases And Ph Chapter 19 Compounds That Become Acids When Dissolved In Water General Formula Hx H X Monatomic Or Polyatomic Anion Ppt Download
Acids Bases And Ph Chapter 19 Compounds That Become Acids When Dissolved In Water General Formula Hx H X Monatomic Or Polyatomic Anion Ppt Download from images.slideplayer.com
How do you calculate the hydronium ion concentration? This video also introduces differe. Mar 02, 2021 · there are a few different formulas you can use to calculate poh, the hydroxide ion concentration, or the ph (if you know poh): Luckily, there is a formula to solve for this too. The ph of this solution lies between: How do i calculate hydroxide concentration? In this video i will go through a worked example showing you two methods that you can use to calculate the concentration of hydroxide ions in a solution usin. What is the concentration of oh?

This video explains how to calculate the ph of a solution given the poh of a an acidic or basic solution.

What is the concentration of oh? This video explains how to calculate the ph of a solution given the poh of a an acidic or basic solution. Mar 02, 2021 · there are a few different formulas you can use to calculate poh, the hydroxide ion concentration, or the ph (if you know poh): Luckily, there is a formula to solve for this too. How do you calculate the hydronium ion concentration? To determine the ph perform the following calculation. This video also introduces differe. The ph of this solution lies between: What is the ph of a solution whose poh is 11.09? In this video i will go through a worked example showing you two methods that you can use to calculate the concentration of hydroxide ions in a solution usin. How do you calculate ph from oh? How do i calculate hydroxide concentration?